반응형
Notice
Recent Posts
Recent Comments
Link
| 일 | 월 | 화 | 수 | 목 | 금 | 토 |
|---|---|---|---|---|---|---|
| 1 | 2 | 3 | 4 | 5 | 6 | 7 |
| 8 | 9 | 10 | 11 | 12 | 13 | 14 |
| 15 | 16 | 17 | 18 | 19 | 20 | 21 |
| 22 | 23 | 24 | 25 | 26 | 27 | 28 |
Tags
- MRC
- 밑시딥2
- 코틀린
- 과적합
- 독서 #독서후기 #피로사회 #행동과잉 #긍정과잉
- 면접왕 이형
- 뉴로 심볼릭
- 면접왕이형
- 베스트 모델
- 모두의 딥러닝
- 로지스틱 회귀법
- 보이스피싱
- nlp
- ESG
- GPT-3
- 예측선
- 딥페이크
- 선형회귀
- 밑시딥
- ESG 채권
- gradiant descent
- andoriod with kotlin
- 밑바닥부터 시작하는 딥러닝
- 경제신문스크랩
- 경사하강법
- 다중분류
- 안드로이드 구조
- 학습 자동 중단
- k겹 교차검증
- 안드로이드
Archives
- Today
- Total
Practice makes perfect!
[모두의 딥러닝] 5장 로지스틱 회귀 본문
1. 로지스틱 회귀의 정의
합격, 불합격과 같이 참(1)과 거짓(0)값을 갖는 점들의 특성을 담아낼 수 있는 선을 긋는 작업이다.
1과 0 사이의 값이 없으므로 직선으로 그리기 어렵다. 따라서 아래와 같이 S자 형태로 그려진다.

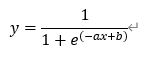
2. 시그모이드 함수

시그모이드 함수는 y값이 0과 1 사이이다.

이 식에서 a는 그래프의 경사도를, b는 그래프의 좌우 이동을 의미한다.


따라서 a와 b의 값에 따라 오차가 변한다. a값에 따라 변화하는 오차를 그래프로 나타내면 아래와 같다.

a 값이 작을 때는 0 또는 1의 값을 아예 나타내지 않는 직선이 된다. 따라서 오차가 무한대로 증가한다.
하지만 a 값이 크다고 해서 오차가 사라지지는 않는다.

b값이 너무 크거나 작을 경우 오차는 위와 같이 이차함수 그래프와 유사한 형태로 나타난다.
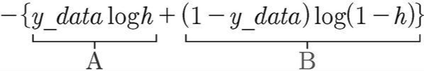
3. 로그 함수

실제 값이 1일 때 예측값이 0에 가까워지면 오차가 커진다. (-logh)
반대로, 실제 값이 0일 때 예측 값이 1에 가까워지면 오차가 커진다. (-log(1-h))
아래의 식을 통해 이를 해결할 수 있다.

4. 코딩으로 확인하는 로지스틱 회귀
# 시그모이드 식에 대입하여 return
def sigmoid(x):
return 1/(1+np.e**(-x))
# 경사 하강법을 이용해 a와 b의 최적값 구하기
for i in range(2001):
for x_data, y_data in data:
a_diff = x_data*(sigmoid(a*x_data+b) - y_data)
b_diff = sigmoid(a*x_data+b) - y_data
a = a - lr*a_diff
b = b - lr*b_diff
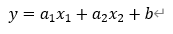
5. 로지스틱 회귀에서 퍼셉트론으로
정리해보면 입력 값을 통해 출력값을 구하는 함수 y는 다음과 같다.
이때 x1,x2는 입력값, y는 출력값이다.


반응형
'Study > 딥러닝' 카테고리의 다른 글
| [모두의 딥러닝] 10장 모델 설계하기 (0) | 2021.04.17 |
|---|---|
| [모두의 딥러닝] 6~9장 퍼셉트론, 다층 퍼셉트론, 오차 역전파 (0) | 2021.04.13 |
| [모두의 딥러닝] 4장 오차 수정하기: 경사 하강법 (0) | 2021.04.10 |
| [모두의 딥러닝] 3장 가장 훌륭한 예측선 긋기: 선형 회귀 (0) | 2021.04.02 |
| [모두의 딥러닝] 1장 나의 첫 딥러닝 (0) | 2021.03.26 |
Comments