반응형
Notice
Recent Posts
Recent Comments
Link
| 일 | 월 | 화 | 수 | 목 | 금 | 토 |
|---|---|---|---|---|---|---|
| 1 | 2 | 3 | 4 | 5 | 6 | |
| 7 | 8 | 9 | 10 | 11 | 12 | 13 |
| 14 | 15 | 16 | 17 | 18 | 19 | 20 |
| 21 | 22 | 23 | 24 | 25 | 26 | 27 |
| 28 | 29 | 30 | 31 |
Tags
- 과적합
- andoriod with kotlin
- 뉴로 심볼릭
- 코틀린
- ESG 채권
- 독서 #독서후기 #피로사회 #행동과잉 #긍정과잉
- k겹 교차검증
- gradiant descent
- 학습 자동 중단
- 예측선
- 딥페이크
- 밑시딥
- 안드로이드
- 경제신문스크랩
- nlp
- 보이스피싱
- 경사하강법
- ESG
- 선형회귀
- 베스트 모델
- GPT-3
- 로지스틱 회귀법
- 밑시딥2
- MRC
- 밑바닥부터 시작하는 딥러닝
- 면접왕 이형
- 안드로이드 구조
- 다중분류
- 면접왕이형
- 모두의 딥러닝
Archives
- Today
- Total
Practice makes perfect!
Week 11 (4) Passage Retrieval - Sparse Embedding 본문
1. Introduction to Passage Retrieval
1) Passage Retrieval
- 질문(query)에 맞는 문서(passage)를 찾는 것
- 질문이 들어왔을 때 웹 또는 위키피디아 상에서 관련된 문서를 가져오는 시스템
2) Passage Retrieval with MRC
- MRC에서 지문이 주어졌다고 가정 후 지문 내에서 답변을 찾는 형태의 모델을 만들 때, 지문을 주는 모델도 필요함.
- Open-domain Question Answering: 대규모의 문서 중에서 질문에 대한 답을 찾기
- Passage Retrieval과 MRC를 이어서 2-Stage로 만들 수 있음
- Passage Retrieval은 질문, 질문에 대한 답, 질문과 관련된 내용을 포함할 것 같은 지문을 MRC 모델에 넘김.
- MRC는 그 지문을 보고 정확한 답변을 냄.

3) Overview of Passage Retrieval
- Query와 Passage를 임베딩한 뒤 유사도로 랭킹을 매기고, 유사도가 가장 높은 Passage를 선택함
- Passage는 미리 임베딩 해둬 효율성 도모
- Similarity score를 재는 방법으로 nearest neighbor, inner product 등이 있음
- 모든 passage에 대해 유사도를 계산하고, 가장 높은 score를 갖는 순서대로 내보냄

2. Passage Embedding and Sparse Embedding
1) Passage Embedding
- 구절(Passage)을 벡터로 변환하는 것
- Passage Embedding space : Passage Embedding의 벡터 공간.
- 벡터화된 Passage를 이용하여 Passage 간 유사도 등을 알고리즘으로 계산할 수 있음.
2) Sparse Embedding
- Sparse (<-> Dense) : 0이 아닌 숫자가 적게 있음을 의미
- Bag-of-Words(BoW)
- 문서를 embedding space로 매핑하기 위해 문서에 존재하는 단어들을 1이나 0으로 표현하여 긴 vector로 표현
- 특정 단어의 존재 유무를 표현하기 때문에 vector의 길이는 전체 vocab의 사이즈와 동일
- BoW를 구성하는 방법 -> n-gram
- unigram(1-gram) : It was the best of times => It, was, the, best, of, times (벡터 크기 = vocab size)
- bigram (2-gram): It was the best of times => It was, was the, the best, best of, of times
- n이 늘어날수록 vocab 사이즈가 기하급수적으로 늘어남. 보통 bi, tri까지 사용
- Term value 를 결정하는 방법 (가장 바닐라한 BoW)
- Term이 document에 등장하는지 (binary)
- Term이 몇번 등장하는지 (term frequency), 등. (e.g. TF-IDF)
3) Sparse Embedding 특징
- Dimension of embedding vector = number of terms
- 등장하는 단어가 많아질수록 증가
- N-gram의 n이 커질수록 증가
- Term overlap을 정확하게 잡아 내야 할 때 유용.
- 반면, 의미(semantic)가 비슷하지만 다른 단어인 경우 비교가 불가 -> dense embedding 활용
3. TF-IDF
BoW는 단순하게 특정 단어가 문서에 존재하는지를 0 or 1로 벡터화하는 것
1) TF-IDF (Term Frequency – Inverse Document Frequency) 소개
- Term Frequency (TF): 특정 term의 단어의 등장빈도
- Inverse Document Frequency (IDF): 단어가 제공하는 정보의 양 (단어가 얼마나 덜 등장하는지)
- TF x IDF 로 최종 수치를 잼 (어떤 문서 내에 단어가 많이 등장했는데, 전체 문서 내에는 그 단어가 별로 없다 -> 더 높은 점수를 받을 수 있음)
- ex) It was the best of times
-> It, was, the, of : 자주 등장하지만 제공하는 정보량이 적음
-> best, times : 좀 더 많은 정보를 제공
2) Term Frequenct (TF)
- 해당 문서 내 단어의 등장 빈도
- BoW는 0 or 1로 표현했지만 TF는 등장 횟수 표현 가능
- 해당 문서에서의 단어의 중요도를 나타냄
- 1. Raw count
2. Adjusted for doc length : raw count / num words (TF)
3. Other variants : binary, log normalization, etc.
3) Inverse Document Frequency (IDF)
- 단어가 제공하는 정보의 양
- 모든 문서에 등장하는 단어는 IDF 값이 0이 됨 (e.g. N=100, DF(t)=100)
- 해당 단어의 문서 전체에서의 중요도를 나타냄

Document Frequency (DF) = Term t가 등장한 document의 개수
N: 총 document의 개수
- TF와 달리 IDF는 각 term에 특정되고 문서에는 무관함
- 자주 출현한 단어들은 IDF 값이 낮음
- IDF 값은 문서에 상관없이 항상 일정한 값을 가짐
4) Combine TF & IDF

TF-IDF(t, d) : TF-IDF for term t in document d
- ‘a’, ‘the’ 등 관사 ⇒ Low TF-IDF
- TF는 높을 수 있지만, IDF가 0에 가까울 것 (거의 모든 document에 등장 ⇒ N ≈ DF(t) ⇒ log(N/DF) ≈ 0)
- 자주 등장하지 않는 고유 명사 (ex. 사람 이름, 지명 등) ⇒ High TF-IDF
- IDF가 커지면서 전체적인 TF-IDF 값이 증가
- 질의 TF-IDF 계산 후 가장 관련있는 문서 찾기
- 사용자가 입력한 질의 토큰화
- 기존 vocab에 없는 토큰 제외
- 질의를 하나의 문서로 생각하고, 이에 대한 TF-IDF 계산
- 질의 TF-IDF 값과 각 문서별 TF-IDF 값을 곱해 유사도 점수 계산
- 가장 높은 점수를 가지는 문서 선택
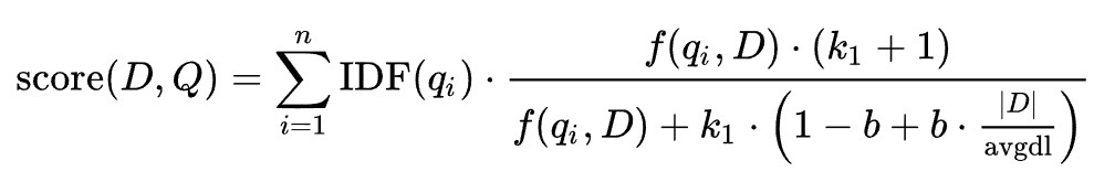
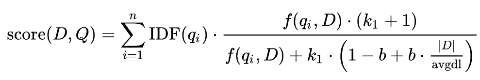
5) BM25
- TF-IDF 의 개념을 바탕으로, 문서의 길이까지 고려하여 점수를 매김
- TF 값에 한계를 지정해두어 일정한 범위를 유지하도록 함
- 평균적인 문서의 길이 보다 더 작은 문서에서 단어가 매칭된 경우 그 문서에 대해 가중치를 부여
- 실제 검색엔진, 추천 시스템 등에서 아직까지도 많이 사용되는 알고리즘
- https://github.com/dorianbrown/rank_bm25

BM25에서 직접 변경 가능한 파라미터
- k1 : Term Frequency의 saciling을 조절
- 0 : binary model : 문서에 단어 존재 유무
- 숫자가 커지면, 실제 term frequency를 사용하겠다는 의미
- 일반적으로 1.2에서 2.0 사이
- b : 문서 길이 normalization
- 0 : no normalization
- 1 : full length normalization
- 일반적으로 0.75를 사용
반응형
'Study > AI Tech' 카테고리의 다른 글
| Week 11 (6) Passage Retrieval – Scaling Up (0) | 2021.10.18 |
|---|---|
| Week 11 (5) Passage Retrieval - Dense Embedding (0) | 2021.10.14 |
| Week 11 (3) Generation-based MRC (0) | 2021.10.13 |
| Week 11 (2) Extraction-based MRC (0) | 2021.10.13 |
| Week 11 (1) MRC Intro (0) | 2021.10.12 |
Comments